【骨鬆Q&A 022】什麼是MOVE trial ?
MOVE並不是研究標題的縮寫,這是個禮來公司主導的骨科研究計畫。主要是研究Teriparetide在髖骨骨折後,促進骨頭生長及骨癒合的幫助。
禮來公司(Eli Lilly and Company)是個國際性、嚴謹的藥廠。一直都只推廣Forteo®有『促進骨生長 Bone Formation』的功能,不能說有『促進骨癒合Bone Healing』的功能。因為FDA認為,要在仿單上寫上促進骨癒合的療效,必須在每種骨折情況下都能有研究證實,所以基本上是沒有藥物可以寫上此功能療效的。
但是臨床上,針對常見並且嚴重的髖骨骨折病患,由於髖部骨折後負重的限制,將導致骨質損失並大大增加隨後脆性骨折的風險。所以還是設計了藥物頭對頭(head-to-head)的比較。希望展現藥物對嚴重骨折併發症,有促進早期恢復的治療療效。與VERO相同的,禮來公司還是與口服的Risedronate作比較。
這個研究進行很久,研究的最初26周(兩年多)雙盲階段的結果已在早期由瑞士醫師發表 (Aspenberg P 2016)。最後完成六年半的研究(78周),由義大利醫師發表 (Malouf-Sierra J 2016 )。
這個研究的特別性,是包含了男女性、50歲以上、BMD≦-2.0、有扭轉性髖部骨折病患的比較結果。從2009年4月到2015年8月,來自北美、墨西哥和西歐17個國家的醫院醫生,他們有治療髖部骨折患者的經驗,篩選了超過2,400名患者的資格。但是絕大多數人無法進入試驗,主要是由於癡呆症、患者決定或主要合併症。最後總共招募了389名最近患有髖部轉子間骨折的患者。對於其他科醫師來說,最特別的是,它的研究病患最多施打了78周的Forteo®,有沒有臨床的嚴重併發症,是很吸引其他科醫師的關注。
主要還是BMD的基本比較,加上功能性評估,依序包含(1)SF-36調查 (2)TUG測試 (3)VAS疼痛評估 (4)改良式Charnley髖關節疼痛評分 (5)走路的能力。

關鍵納入標準
- 男性和絕經後女性年齡≥50歲。
- 動態且無嚴重或長期致殘的病症,包括惡性腫瘤,癡呆和步態問題(ASA評分I,II或III)。
- 用髓內釘或滑動加壓髖螺釘治療的轉子間區域(OTA / AO型31-A1和31-A2)的單側,低創傷性骨折。

扭轉性髖部骨折就是如圖31-A1、31-A2。
- 全髖,股骨頸或腰椎的低骨量(T-評分骨BMD≤-2.0 SD)。
A.主要終點 Primary EFFICACY Endpoint
比較TPH或RIS治療18個月對男性和絕經後骨密度較低的女性,腰椎骨密度和最近的髖臼骨折的影響。78周作DEXA。
B.次要終點 Secondary Efficacy Endpoints
- 椎骨BMD。26和52周作DEXA。
- 股骨頸BMD。26 、52和78周作DEXA。
- 全髖部BMD。26 、52和78周作DEXA。
C.次要終點 Secondary Efficacy Endpoints: Functional Outcomes
- 功能靈活Functional mobility。
- TUG(The timed Up & Go)test。

- 自我報告的臀部疼痛 Self-reported hip pain。

- 100 mm線性VAS(TUG測試期間疼痛)
- 修改Charnley疼痛評分(前24小時疼痛最嚴重)
-
患者評定的健康狀況 Patient-rated health status。
- 自我管理的SF-36問卷
D.探索性變量:放射學結果Exploratory Variables: Radiological Outcomes
-
足夠的骨折減少。
-
Femoral-neck angle: between 15º of valgus to 10º of varus on
AP radiograph, - Posterior angulation <20º on lateral view,
-
Proximal fragment is not inferior to the distal fragment on
AP view.
-
Femoral-neck angle: between 15º of valgus to 10º of varus on
-
足夠的拉力螺釘lag screw位置。
-
TAD <20 mm, and
- Central/central (AP/lateral view),
- Inferior/central, or
- Inferior/posterior within the femoral head.
-
Placement in the superior and/or anterior third of the femoral
neck was considered inadequate.
-
TAD <20 mm, and
-
X光證實癒合
- Cortical bridging or softened cortical continuity,
- Disappearance of the fracture line,
- Stable fracture alignment compared to preceding visit, and/or
- Progressive sclerosis at fracture site.

研究設計
第4階段,多國,多中心,前瞻性,隨機,主動對照臨床試驗,有3個研究期:

剛開始也是雙模擬(Double-Dummy)、雙盲(Double-Blind)的研究26周。之後(Open-Lable)達78周。
直接看結果
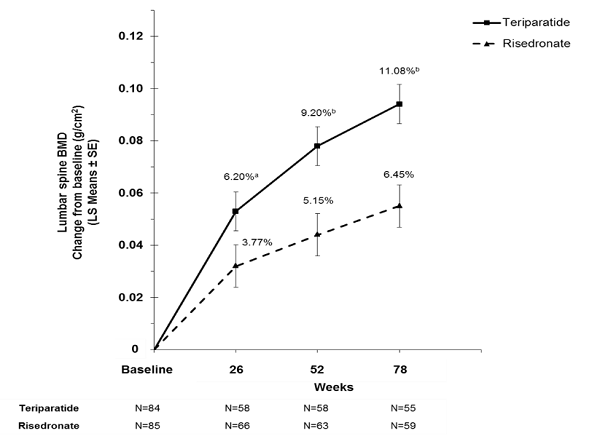
腰椎BMD

主要療效變量是腰椎BMD從基線到第78週的變化。
來自78週的初級模型的結果:處理之間的差異:0.040g / cm 2(95%CI:0.025,0.055g / cm 2;p <0.0001)。
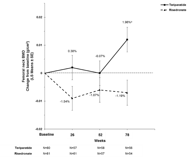
股骨頸BMD


在78週時的結果:處理之間的差異:0.019g / cm 2; 95%CI:0.006,0.031g / cm 2;p值=0.0033。
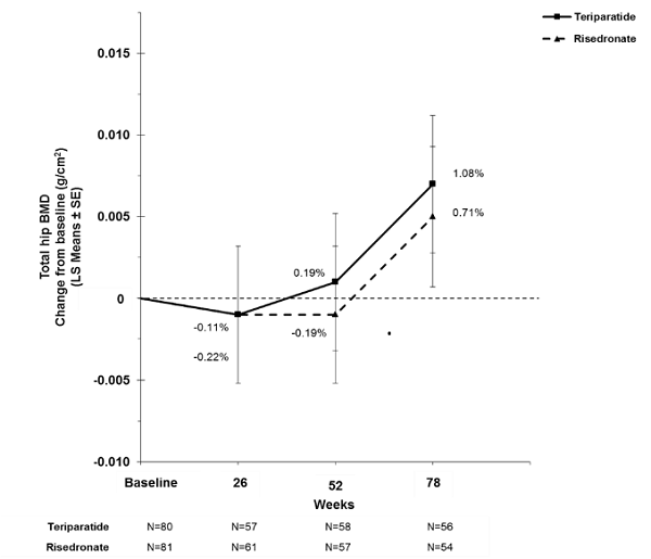
全髖部BMD

在78週時的結果:處理之間的差異:0.000g / cm 2; 95%CI:-0.011,0.012g / cm 2;p值=0.9438。
TUG完成時間 Time to Complete Timed Up-and-Go Test – Full Adjusted Model

在治療的最後52週內,在TUG試驗期間完成TUG試驗和VAS評估的髖部疼痛所需的時間-顯示早期恢復期減少-在兩組之間不再有顯著差異,可能反映了 在研究中留下的患者成功完成骨折癒合過程。
在Aspenberg及其同事報告的26週分析中,TUG試驗和髖部疼痛的輕微預期差異可能歸因於統計方法學(MMRM)以及MMRM中包括的52周和78週的額外時間點調整 (Aspenberg P 2016)。
小魏醫師總結,224名老年男性和女性骨質缺乏患者加上近期的低創傷性髖部轉子骨折的隨機分組,其中216例(TPH 106例,RIS 110例)接受至少一劑研究藥物治療。
BMD結果
- 到第78週,PTH治療的腰椎BMD的增加明顯。在第26週和第52週,PTH導致腰椎骨密度增加。
- 到第78週,PTH治療的股骨頸BMD的增加明顯。治療中間總髖骨BMD,無顯著差異。
功能和患者相關的結果
- 在第6週,第12週,第18周和第26周用TPH與RIS完成TUG試驗所需的時間明顯縮短。第52周和第78週的治療之間沒有顯著差異。
- 第18週時TPH與RIS顯著降低髖部疼痛。其他時間點治療間無顯著差異。
- 在任何時間點,通過SF-36評估的患者報告的健康狀況的治療或Charnley疼痛評分的自我報告的髖部疼痛之間沒有顯著差異。
- 對於行走能力(走動類別)或使用不同助行器的治療之間沒有顯著差異。
放射學結果
- 在植入物的機械故障(failure of the implant),骨折復位的損失(loss of fracture reduction),射線照相骨折癒合(radiographic fracture healing)或不癒合(non-union)的治療之間沒有統計學上顯著的差異。
安全結果
- TPH有5例新骨折,RIS有12例,分別有2例和7例新發髖骨折。
- 安全性數據與TPH和RIS的已知安全性曲線一致,未發現新的安全性信號。
- RIS的死亡率,導致住院的嚴重不良事件和臨床骨折的頻率高於TPH,但差異無統計學意義。
- 第26周和第78週,TPH與RIS的血清鹼性磷酸酶水平顯著升高。
- 與RIS相比,與TPH相關的高鈣血症和高尿酸血症的發生率更高。
總之,78週期間的TPH治療與腰椎和股骨頸的BMD顯著增加相關,與RIS相比,於最近的轉子髖關節骨折的老年患者,完成TUG試驗的時間明顯較短。沒有跡象表明這些藥物在骨折修復後立即使用時不安全。因為有些人考量,骨折後立即使用破骨抑制劑會影響骨折癒合。也需要進一步的研究來調查,早期恢復階段的這些觀察是否會轉化為隨後的脆性骨折和早期致殘率的減少。
【參考資料】
- Aspenberg P (2016). "Effects of Teriparatide Compared with Risedronate on Recovery After Pertrochanteric Hip Fracture: Results of a Randomized, Active-Controlled, Double-Blind Clinical Trial at 26 Weeks." J Bone Joint Surg Am 98: 1868-1878.
- Malouf-Sierra J (2016 ). "Effect of Teriparatide or Risedronate in Elderly Patients With a Recent Pertrochanteric Hip Fracture: Final Results of a 78-Week Randomized Clinical Trial." J Bone Miner Res: 3067.